


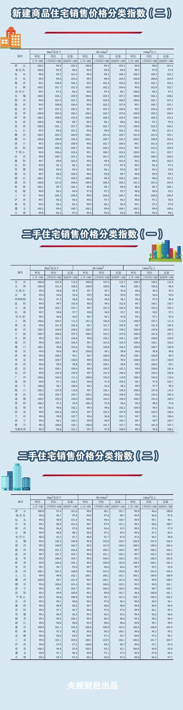
3月16日,国家统计局发布了2022年2月70个大中城市商品住宅销售价格变动情况。数据显示,70个大中城市中,新建商品住宅和二手住宅销售价格环比上涨城市分别有27个和10个,环比下降城市分别有40个和57个。
一线城市新建商品住宅销售价格环比上涨0.5%,涨幅比上月回落0.1个百分点。其中北京、上海、广州和深圳分别上涨0.6%、0.5%、0.6%和0.4%。
二手住宅环比上涨0.5%,涨幅比上月扩大0.4个百分点。其中北京、上海和广州分别上涨0.7%、0.9%和0.6%,深圳下降0.2%。值得一提的是,这是广州二手房指导价出台后,二手房价连跌5个月后,首次止跌回涨。
据广州市房地产中介协会数据,2月(统计周期:2022年1月26日至2022年2月25日)广州二手住宅共网签4176宗(建面40.06万平方米),其中53.47%为按揭购买。当月二手网签均价为25770元/平方米。
自去年10月房贷放款加速以来,按揭购买二手房的比例从2021年11月的42.80%,增长至2022年2月的53.47%。广州中原研究发展部表示,2 月份房贷审批较去年年底有明显加快,贷款周期基本缩短至2-3个月,种种利好信号将有利于提振市场信心,预计后期二手市场成交或将继续回温。
“整体看,2月全国房地产市场的主要特征是随着调控政策的稳定,信贷供应的增加,政策底部出现后,市场逐渐率先在一二线城市出现底部特征。”中原地产首席分析师张大伟表示。
张大伟认为,随着影响最近房地产市场最大的因素房贷趋稳,市场在3-4月有望逐渐企稳。“但需要注意的是,最近疫情对上海、深圳、杭州、南京等市场造成一定的影响,之前出现的‘小阳春’苗头能否延续存在变数,3月份预计这些城市房价有可能再次下调。”他表示。
专家解读
国家统计局城市司首席统计师绳国庆解读2022年2月份商品住宅销售价格变动情况统计数据
2022年2月份,70个大中城市中,一线城市新建商品住宅和二手住宅销售价格环比上涨,二三线城市环比持平或下降;一二线城市商品住宅销售价格同比涨幅回落或持平,三线城市同比下降。
一、一线城市新建商品住宅和二手住宅销售价格环比上涨,二三线城市环比持平或下降
2月份,一线城市新建商品住宅销售价格环比上涨0.5%,涨幅比上月回落0.1个百分点,其中北京、上海、广州和深圳分别上涨0.6%、0.5%、0.6%和0.4%;一线城市二手住宅环比上涨0.5%,涨幅比上月扩大0.4个百分点,其中北京、上海和广州分别上涨0.7%、0.9%和0.6%,深圳下降0.2%。二线城市新建商品住宅销售价格环比由上月上涨0.1%转为持平;二手住宅环比下降0.3%,降幅比上月扩大0.1个百分点。三线城市新建商品住宅销售价格环比下降0.3%,降幅比上月扩大0.1个百分点;二手住宅环比下降0.4%,降幅与上月相同。
2月份,70个大中城市中,新建商品住宅和二手住宅销售价格环比上涨城市分别有27个和10个,环比下降城市分别有40个和57个。
二、一二线城市新建商品住宅和二手住宅销售价格同比涨幅回落或持平,三线城市同比下降
2月份,一线城市新建商品住宅销售价格同比上涨4.4%,涨幅与上月相同;二手住宅同比上涨3.5%,涨幅比上月回落0.6个百分点。二线城市新建商品住宅和二手住宅销售价格同比分别上涨2.1%和0.3%,涨幅比上月分别回落0.4和0.7个百分点。三线城市新建商品住宅销售价格同比由上月上涨0.5%转为下降0.1%;二手住宅同比下降1.3%,降幅比上月扩大0.6个百分点。
2月份,70个大中城市中,新建商品住宅和二手住宅销售价格同比上涨城市分别有46个和30个,同比下降城市分别有24个和39个。
广东省住房政策研究中心首席研究员李宇嘉分析认为,一线城市回升企稳,二三线城市相对低迷,复苏较慢。从城市来看,一线城市新房市场和二手房市场已经开始触底并回升。主要原因是,一线城市刚需基础扎实,对政策比较敏感,当信贷额度增加、利率下降以后,需求会加速入市。加上开发商定价比较稳健,以去化和回笼现金流为第一目的,供需相对匹配;另外,换房需求开始积极入市,对新房的去化起到一定作用。
李宇嘉分析,2月份,二线城市新房环比为0.0%,相比上月的0.1%有所回落,三四线城市也从下跌0.2%扩大至下跌0.3%。二手房方面,二三四线城市,二手房价跌幅均比1月份扩大。从下跌城市看,无论新房还是二手房,下跌城市中均有内地二三四线城市。主要原因在于,2月份春节期间及前后,二三四线城市新房项目以打折促销为主,迎接返乡客,导致价格下降。
重点城市二手房市场
回暖迹象更明显
今年1-2月份,全国40多个省市出台楼市纾困政策,一些地方房贷利率出现下调,部分地方首套房首付比例调至两成。贝壳统计的主流103城按揭利率已连续5个月下降,贷款发放周期从2-3个月缩短至40天。多位业内专家表示,“政策底”已来了,但是短期来看政策效应尚未完全传递至市场端,房地产市场信心修复尚待时日。
从房价指数来看,1月份70个大中城市住宅销售价格指数虽然环比下降,但降幅在收窄。国家统计局15日发布的房地产投资和销售数据显示,在行业面临压力较大的情况下,房地产开发投资依然实现了3.7%的增长,销售数据虽然呈现同比下降,但数据表现明显好于预期。
“去年以来,受多重因素影响,房地产市场出现了一定的下行态势。但是从今年的情况来看,在各方面的共同努力下,持续稳地价、稳房价、稳预期,房地产市场运行状况出现了积极变化,房地产下行态势得到了减缓。”国家统计局新闻发言人、国民经济综合统计司司长付凌晖15日表示。
付凌晖还表示,《政府工作报告》提到,坚持房子是用来住的、不是用来炒的定位,探索新的发展模式,坚持租购并举,加快发展长租房市场,推进保障性住房建设,支持商品房市场更好满足购房者的合理住房需求,稳地价、稳房价、稳预期,因城施策促进房地产业良性循环和健康发展。
首创证券房地产行业首席分析师王嵩表示,地方政府在因城施策框架下,需求端支持政策升级到商贷首付比例下调以及限购限贷的放松,均向市场传递出积极信号。目前市场仍处于筑底阶段,预计政策组合拳的有效实施将促使行业在二季度末迎来增速的触底回升。
而值得一提的是,进入3月,部分热点城市二手房市场回暖步伐加快。
从诸葛找房数据研究中心重点监测的10城周度数据来看,上周(3月7-3月13日),包括北京、深圳、苏州、南京、厦门、宁波等在内的重点10城二手住宅成交量为13208套,环比上周增长11.22%。其中,北京二手房成交4329套,环比上涨29.07%,二手房成交规模自春节后逐周攀升,市场修复迹象较为明显。
从国家统计局数据来看,上海、北京、广州包揽2月二手房价格涨幅前三。业内专家认为,一线城市二手房市场表现略强势,潜在的购房需求很强,新房方面认购依然略有困难,部分购房需求会进入到二手房市场上。
诸葛找房数据研究中心指出,2022年春节过后,多地出台的楼市扶持政策效应逐渐在二手房市场显现,市场信心得到持续修复,加之信贷层面对合理住房需求的大力支持,购房者的置业意愿有所提升,二手住宅成交量连续5周上行。预计二手房成交量仍将延续稳中有升态势,但回升幅度不会太大,同时不排除在疫情影响下成交量短暂回调的可能性。
展望后市
整体来说,易居研究院智库中心研究总监严跃进认为2月份房价指数数据有三个特点:
第一、相比1月份略有降温的现象,说明市场回暖是有阻力的,对于政策放松传导到市场面,不能过于乐观和自信。第二、个别城市有热度,但绝大多数城市的市场行情还处于酝酿中,有待于政策的进一步消化和发酵。第三、市场的压力点不在于一二线城市,而在于三四线城市。要警惕三四线城市行情急速降温,其很容易影响当地土地交易和市场预期。
对于二手房市场,严跃进认为呈现了比较明显的分化现象。一些大城市二手房市场相对强势,而很多三四线城市总体比较疲软。从后续二手房市场的表现看,预计有几个方面的政策会明显加快推出。第一、二手房参考价的推进工作会暂缓,部分反而会有所松绑,以减少房东顾虑加快房屋流通。第二、二手房的信贷方面会加快推进和鼓励,包括公积金方面的政策也会跟进。第三、二手房的个税等政策也会优化,总体上以降低交易成本为主。
李宇嘉也认为,疫情冲击,多点散发,扩散明显,对各地人流量限制增加,估计3月份房价走势继续保持2月份的态势,但政策纾困行业的基调不变,包括信贷增加,而且预计房贷利率会继续下降,以鼓励新市民置业。预计各项纾困政策的效果在4月份前后开始彰显,届时,房价也将会触底回升。
2022年2月份70个大中城市
商品住宅销售价格变动情况
(快看看你所在的城市吧!)
↓↓↓
素材来源:国家统计局官网、央视财经、中国证券报、证券日报、南方都市报
---THE END---